Daftar Gaji Pegawai Negeri Sipil (PNS) Tahun 2012 Sesuai Golongannya
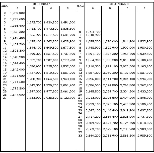
Gaji Golongan I dan II
Gaji Gol III dan IV
DOWNLOAD DAFTAR GAJI PNS SESUAI
Penelusuran yang terkait dengan gaji pns
Penelusuran yang terkait dengan gaji pns



